Η Kαλύτερη Διαθέσιμη Επιστήμη
Μη εκλεγμένοι, μη υπόλογοι &μη αμφισβητούμενοι: Ο μηχανισμός πίσω από την«Επιστήμη» Η ICSU, ο ΟΗΕ & η σιωπηλή κατάληψη & καταρράκωση της επιστημονικής νομιμότητας από την Μισάνθρωπη Ελίτ
Σας ευχαριστώ θερμά για το ενδιαφέρον σας και την αναδημοσίευση των άρθρων μου. Θα εκτιμούσα ιδιαίτερα αν, κατά την κοινοποίηση, σ̲υ̲μ̲π̲ε̲ρ̲ι̲λ̲α̲μ̲β̲ά̲ν̲α̲τ̲ε̲ ̲κ̲α̲ι̲ ̲τ̲ο̲ν̲ ̲σ̲ύ̲ν̲δ̲ε̲σ̲μ̲ο̲ ̲(̲l̲i̲n̲k̲)̲ ̲τ̲ο̲υ̲ ̲ά̲ρ̲θ̲ρ̲ο̲υ̲ ̲μ̲ο̲υ̲. Αυτό όχι μόνο αναγνωρίζει την πηγή, αλλά επιτρέπει και σε άλλους να ανακαλύψουν περισσότερο περιεχόμενο. Η υποστήριξή σας είναι πολύτιμη για τη συνέχιση της δουλειάς μου.
Απόδοση στα ελληνικά: Απολλόδωρος - esc | 9 Ιανουαρίου 2024
Μπορείτε να κάνετε εφάπαξ ή επαναλαμβανόμενες δωρεές μέσω του Ko-Fi:
Είμαι σίγουρος ότι εδώ και καιρό αμφισβητείτε την εγκυρότητα της «επιστήμης». Σίγουρα από την εμφάνιση της επιδημίας-απάτης COVID». Και μπορεί να υπάρχει ένας πολύ βάσιμος λόγος για αυτό. Ας ξεκινήσουμε με μια έκθεση: «ICSU και βιώσιμη ανάπτυξη: 1991 - 2006 και μετά», η οποία δημοσιεύθηκε από το ίδιο το ICSU.
Πρώτη φορά έμαθα για το ICSU όταν ανακάλυψα την έκθεση SCOPE 3 πριν από περίπου ένα μήνα. Για να το θέσω ήπια, η ανάγνωση αυτής της έκθεσης επιβεβαίωσε ότι όχι μόνο η κατάσταση της παγκόσμιας επιτήρησης ήταν τόσο άσχημη όσο νόμιζα, αλλά ήταν στην πραγματικότητα χειρότερη, με πρωτοβουλίες που δεν είχα καν σκεφτεί, να συζητιούνται ενεργά την εποχή που γεννήθηκα. Στην πραγματικότητα, το SCOPE ξεκίνησε μετά τη διάσκεψη του 1968 για τη Χρήση και τη Διατήρηση της Βιόσφαιρας.
Αλλά - φανταστείτε την έκπληξή μου - όταν ανακάλυψα ότι όχι μόνο το ICSU ίδρυσε το SCOPE, αλλά στην πραγματικότητα ίδρυσε και το Διεθνές Πρόγραμμα Βιόσφαιρας το 1964, και τα αποτελέσματα του σίγουρα ήταν χρήσιμα σε εκείνη τη διάσκεψη το 1968 -
Το θέμα είναι ότι αυτά τα δύο - το SCOPE και το IBP - δεν αποτελούν εξαίρεση, αλλά μάλλον τον κανόνα.
Όσον αφορά την έκθεση, έχει τον υπότιτλο «Από το ASCEND 21 στο CSD» και, ενώ πολλοί θα έχουν ακούσει για το CSD - την «Επιτροπή για τη Βιώσιμη Ανάπτυξη» - το ASCEND 21 είναι μια κάπως διαφορετική υπόθεση. Έχω ψάξει πολλά έγγραφα και δεν έχω ακούσει ποτέ για αυτό - και όλες οι μηχανές αναζήτησης και τα αρχεία φαίνεται να συμφωνούν μαζί μου.
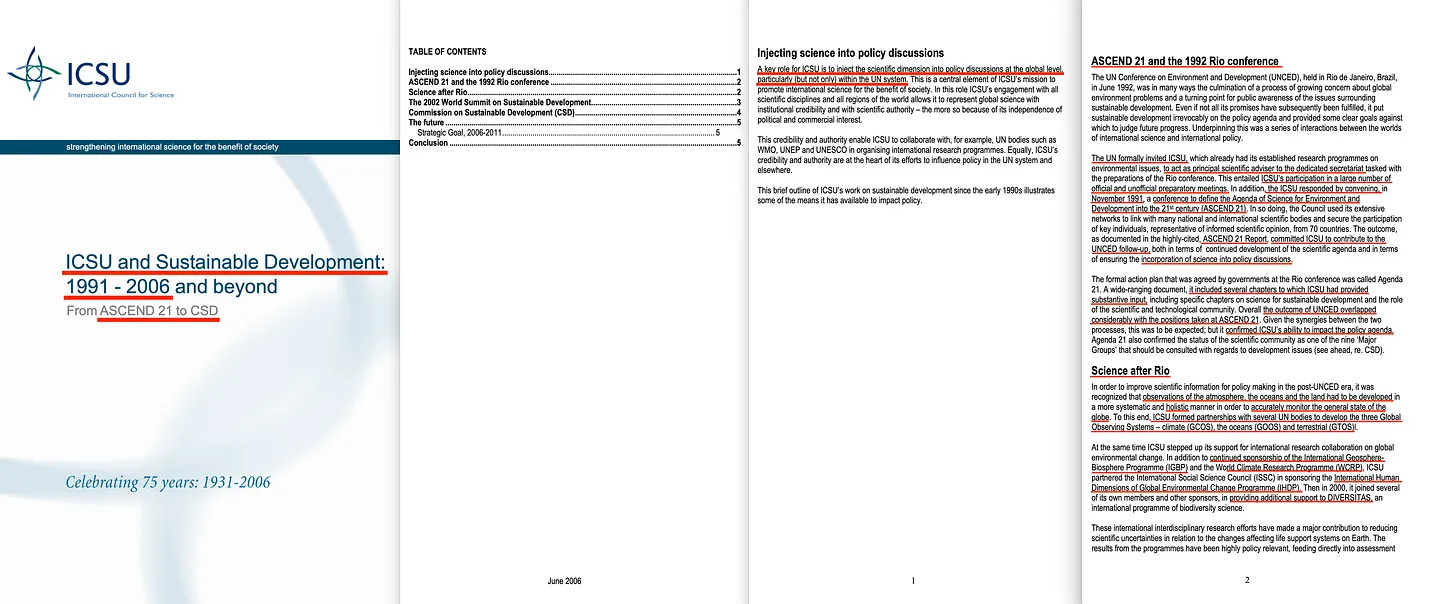
«Ένας βασικός ρόλος του ICSU είναι να εισάγει την επιστημονική διάσταση στις πολιτικές συζητήσεις σε παγκόσμιο επίπεδο, ιδίως (αλλά όχι μόνο) στο πλαίσιο του συστήματος των Ηνωμένων Εθνών».
Ήδη εδώ έχω ένα πρόβλημα. Δεν τους ψήφισα. Ούτε κι εσύ. Ωστόσο, έχουν άμεση πρόσβαση σε συνέδρια υψηλού επιπέδου με ατιμωρησία.
«Ο ΟΗΕ προσκάλεσε επίσημα το ICSU, το οποίο είχε ήδη καθιερωμένα ερευνητικά προγράμματα για περιβαλλοντικά ζητήματα, να ενεργήσει ως κύριος επιστημονικός σύμβουλος της ειδικής γραμματείας που ήταν επιφορτισμένη με την προετοιμασία της διάσκεψης του Ρίο».
Και κόψτε - αφήνοντας κατά μέρος μια άλλη τυχερή συγκυρία, ας θυμηθούμε ποιος ήταν στην πραγματικότητα ο Γενικός Γραμματέας της UNCED. Καμιά υπόθεση;
Ναι, δεν ήταν άλλος από τον ίδιο τον Maurice Strong. Ο ίδιος άνθρωπος που ανέθεσε την πρώτη έκθεση της SCOPE για την παγκόσμια επιτήρηση το 1971, σε προετοιμασία για τη Στοκχόλμη το 1972.
«Αυτό συνεπαγόταν τη συμμετοχή του ICSU σε μεγάλο αριθμό επίσημων και ανεπίσημων προπαρασκευαστικών συναντήσεων. Επιπλέον, το ICSU ανταποκρίθηκε συγκαλώντας, τον Νοέμβριο του 1991, μια διάσκεψη για τον καθορισμό της Ατζέντας της Επιστήμης για το Περιβάλλον και την Ανάπτυξη στον 21ο αιώνα (ASCEND 21). Με αυτόν τον τρόπο, το Συμβούλιο χρησιμοποίησε τα εκτεταμένα δίκτυά του για να συνδεθεί με πολλούς εθνικούς και διεθνείς επιστημονικούς φορείς και να εξασφαλίσει τη συμμετοχή σημαντικών προσώπων, εκπροσώπων της ενημερωμένης επιστημονικής κοινής γνώμης, από 70 χώρες».
Και πάλι, επόμενο θέμα. Ποιος έδωσε στο ICSU την παγκόσμια εντολή να προετοιμάσει αυτή την έκθεση και με ποιους επιστήμονες επικοινωνούσαν; Με εκείνους που συμφώνησαν, χωρίς αμφιβολία.
«Το αποτέλεσμα, όπως καταγράφεται στην πολύ αναφερόμενη έκθεση ASCEND 21, δεσμεύει το ICSU να συμβάλει στην παρακολούθηση της UNCED, τόσο όσον αφορά τη συνεχή ανάπτυξη της επιστημονικής ατζέντας όσο και όσον αφορά τη διασφάλιση της ενσωμάτωσης της επιστήμης στη συζήτηση για τις πολιτικές».
Και πάλι, καμία δημοκρατική εποπτεία, και... μετά από πάνω από μία ώρα, δεν κατάφερα να βρω την πλήρη έκθεση. Τελικά βρήκα ένα παλιό αντίγραφο στο Amazon, το οποίο παρήγγειλα. Ανυπομονώ να το διαβάσω σε 3 εβδομάδες, όταν θα έχω προχωρήσει από αυτό το θέμα.
«Το επίσημο σχέδιο δράσης που συμφωνήθηκε από τις κυβερνήσεις στη διάσκεψη του Ρίο ονομάστηκε Agenda 21. … Περιλάμβανε αρκετά κεφάλαια στα οποία το ICSU είχε συμβάλει ουσιαστικά, συμπεριλαμβανομένων συγκεκριμένων κεφαλαίων σχετικά με την επιστήμη για τη βιώσιμη ανάπτυξη και τον ρόλο της επιστημονικής και τεχνολογικής κοινότητας. Συνολικά, τα αποτελέσματα της UNCED συνέπιπταν σε μεγάλο βαθμό με τις θέσεις που υιοθετήθηκαν στο ASCEND 21. … επιβεβαίωσε την ικανότητα του ICSU να επηρεάζει την πολιτική ατζέντα».
... κατά κάποιον τρόπο, είναι λίγο περίεργο. Γιατί εδώ έχουμε μια υπερ-μυστική οργάνωση, η οποία δημιουργεί άλλες ομάδες, οι οποίες στη συνέχεια κατασκευάζουν «την επιστήμη» που θα χρησιμοποιηθεί για να προωθηθεί η επόμενη πρωτοβουλία. Και όμως, δημοσιεύουν αυτή την έκθεση, παραδεχόμενοι ουσιαστικά ότι παρακάμπτουν εντελώς τις δημοκρατικές αρχές.
«Η «Ατζέντα 21» επιβεβαίωσε επίσης το καθεστώς της επιστημονικής κοινότητας ως μία από τις εννέα «Μεγάλες Ομάδες» που πρέπει να συμβουλεύονται σε θέματα ανάπτυξης (βλ. παρακάτω, σχετικά με την CSD)».
Περισσότερα για αυτό σε λίγο -
«Προκειμένου να βελτιωθούν οι επιστημονικές πληροφορίες για τη χάραξη πολιτικής στην εποχή μετά την UNCED, αναγνωρίστηκε ότι οι παρατηρήσεις της ατμόσφαιρας, των ωκεανών και της ξηράς έπρεπε να αναπτυχθούν με πιο συστηματικό και ολιστικό τρόπο, προκειμένου να παρακολουθείται με ακρίβεια η γενική κατάσταση του πλανήτη. Για το σκοπό αυτό, το ICSU σύναψε συνεργασίες με διάφορους οργανισμούς του ΟΗΕ για την ανάπτυξη των τριών Παγκόσμιων Συστημάτων Παρατήρησης – του κλίματος (GCOS), των ωκεανών (GOOS) και της ξηράς (GTOS).»
Πλάκα μου κάνετε. Το ICSU ήταν επίσης ένας σημαντικός μοχλός πίσω από το παγκόσμιο σύστημα επιτήρησης, επειδή αυτά τελικά συγχωνεύτηκαν στο GEOSS, το οποίο αποτελεί το backend της σύγχρονης παγκόσμιας επιτήρησης.
«Ταυτόχρονα, το ICSU ενίσχυσε την υποστήριξή του στη διεθνή ερευνητική συνεργασία για την παγκόσμια κλιματική αλλαγή. Εκτός από τη συνεχή χορηγία του Διεθνούς Προγράμματος Γεωσφαίρας-Βιόσφαιρας (IGBP) και του Παγκόσμιου Προγράμματος Έρευνας για το Κλίμα (WCRP), το ICSU συνεργάστηκε με το Διεθνές Συμβούλιο Κοινωνικών Επιστημών (ISSC) στη χορηγία του Διεθνούς Προγράμματος για τις Ανθρώπινες Διαστάσεις της Παγκόσμιας Κλιματικής Αλλαγής (IHDP). Στη συνέχεια, το 2000, συνεργάστηκε με αρκετά από τα μέλη του και άλλους χορηγούς, παρέχοντας πρόσθετη υποστήριξη στο DIVERSITAS, ένα διεθνές πρόγραμμα για την επιστήμη της βιοποικιλότητας».
Υπάρχει επίσης ο σύνδεσμος προς το Διεθνές Πρόγραμμα Γεώσφαιρας-Βιόσφαιρας, και επισημαίνουν ακόμη και ένα πρόγραμμα για το οποίο δεν έχω ακόμη σχολιάσει, το IHDP. Α, και παρείχαν υποστήριξη και στο DIVERSITAS;
Υπάρχει πραγματικά κάποιο «επιστημονικό» πρόγραμμα που να μην επηρεάζεται άμεσα από το ICSU;
Σε αυτό το στάδιο, μοιάζει σαν να καυχιέται.
«Το ICSU, σε συνεργασία με την Παγκόσμια Ομοσπονδία Μηχανικών Οργανώσεων, κλήθηκε από τον ΟΗΕ να αναλάβει ηγετικό ρόλο στη συγκέντρωση των απόψεων της επιστημονικής και τεχνολογικής κοινότητας (S&T). Αυτή ήταν η πρώτη φορά που η κοινότητα S&T και άλλες επιλεγμένες «Μεγάλες Ομάδες» (βλ. παρακάτω, σχετικά με την CSD) συμμετείχαν άμεσα στην ανάπτυξη της ατζέντας μιας παγκόσμιας συνόδου κορυφής, η οποία συνήθως αποτελεί αποκλειστικό προνόμιο των κυβερνήσεων».
Σε αυτό το στάδιο (2002), η συγχώνευση της διεθνούς πολιτικής, των επιχειρήσεων και της «επιστήμης» είναι πλήρης, με άλλα λόγια. Βρίσκεται σε αρχικό στάδιο, σίγουρα, αλλά είναι πλήρης.
«Στην ίδια τη σύνοδο κορυφής, το ICSU οργάνωσε μια ισχυρή παρουσία της επιστήμης στις κύριες συνεδριάσεις, προκειμένου να υπογραμμίσει τη σημασία της επιστημονικής διάστασης για τη βιώσιμη ανάπτυξη και ιδίως για τους τομείς «wehab»: νερό και αποχέτευση, ενέργεια, υγεία και περιβάλλον, γεωργική παραγωγικότητα, βιοποικιλότητα και διαχείριση οικοσυστημάτων. Το ICSU διοργάνωσε επίσης ένα παράλληλο φόρουμ για την επιστήμη, την τεχνολογία και την καινοτομία για τη βιώσιμη ανάπτυξη, κατόπιν αιτήματος της κυβέρνησης της Νότιας Αφρικής και σε συνεργασία με τον ΟΗΕ».
Στην πραγματικότητα, θα μπορούσε να υποστηριχθεί ότι η κατάσταση είναι ακόμη χειρότερη, επειδή διοργάνωσαν μια παράλληλη εκδήλωση. Θα προσπαθήσω να βρω τα πρακτικά, αλλά ας είμαστε ρεαλιστές. Είναι δύσκολο να τα βρεις για έναν λόγο.
«Όλα αυτά αποτέλεσαν μια σημαντική επένδυση προσπάθειας από την ICSU για την ενσωμάτωση της επιστήμης και της τεχνολογίας στην ατζέντα της βιωσιμότητας– η επιστημονική γνώση είναι απαραίτητη τόσο για την κατανόηση των παραμέτρων της αειφορίας όσο και για την εφαρμογή στρατηγικών για την επίτευξη της βιωσιμότητας».
Ω, και σίγουρα όλοι εκτιμούμε τις δημοκρατικές σας προσπάθειες.
«Ο ουσιαστικός ρόλος της επιστήμης και της τεχνολογίας στην πορεία προς τη βιώσιμη ανάπτυξη αναγνωρίζεται σαφώς στο Σχέδιο Εφαρμογής του Γιοχάνεσμπουργκ που υιοθετήθηκε από τη WSSD. Το ICSU, ..., υπέγραψε τη Διακήρυξη Ubuntu, η οποία ζητούσε μεγαλύτερη παγκόσμια έμφαση στην εκπαίδευση για την επίτευξη των στόχων της βιώσιμης ανάπτυξης και τόνιζε την ανάγκη ενσωμάτωσης της βιώσιμης ανάπτυξης στο πρόγραμμα σπουδών σε όλα τα επίπεδα».
Απλά σκεφτείτε το. Ο λόγος για τον οποίο τα παιδιά σας υποβάλλονται σε πλύση εγκεφάλου στο σχολείο όσον αφορά όλη την «επιστήμη» του κλίματος και τις βιώσιμες ανοησίες είναι επειδή ένας ιδιωτικός επιστημονικός οργανισμός έκρινε ότι έτσι πρέπει να γίνει.
Μπορείτε να βρείτε τη Διακήρυξη Ubuntu εδώ. Θα την αναλύσω στο τέλος.
«Χρηματοδότηση για τη συμβολή του ICSU στη Σύνοδο Κορυφής του Γιοχάνεσμπουργκ και της CSD Το ICSU κατάφερε να εξασφαλίσει χρηματοδότηση από διάφορα ιδρύματα (Packard, 500.000 δολάρια, Rockefeller, 30.000 δολάρια, Ίδρυμα των Ηνωμένων Εθνών, 35.000 δολάρια) για την υποστήριξη των δραστηριοτήτων...»
Ξέρω, ξέρω – είναι συγκλονιστικό, απλά συγκλονιστικό.
Και ας προχωρήσω στο...
«Μετά από σύσταση της Συμβουλευτικής Ομάδας για την Επιστήμη και την Τεχνολογία για τη Βιώσιμη Ανάπτυξη το 2005, το ICSU διερευνά πώς να αναπτύξει έναν αποτελεσματικό μηχανισμό για τον διάλογο μεταξύ των «πολλαπλών ενδιαφερομένων» σχετικά με τις προτεραιότητες για την επιστημονική πληροφόρηση και την τεχνολογική καινοτομία που σχετίζονται με τη βιώσιμη ανάπτυξη».
Περιμένετε, δηλαδή τώρα βρισκόμαστε στο στάδιο που ζούμε ουσιαστικά σε μια εταιρική τεχνοκρατία;
Ποιος στο καλό τους έδωσε την εξουσία να ενεργούν με οποιαδήποτε ιδιότητα εκτός από συμβουλευτική;
«Η καλή επιστήμη είναι απαραίτητη για την ορθή λήψη αποφάσεων και την ανάπτυξη πολιτικών σε τοπικό, εθνικό και διεθνές επίπεδο». Αυτό είναι ένα από τα βασικά μηνύματα που το ICSU μετέφερε στην Παγκόσμια Διάσκεψη για τη Βιώσιμη Ανάπτυξη το 2002 και είναι πλήρως ενσωματωμένο στη μελλοντική στρατηγική του Συμβουλίου».
Στους στρατηγικούς στόχους που ακολουθούν -
«να διασφαλιστεί ότι η επιστήμη ενσωματώνεται στην ανάπτυξη πολιτικών σε διεθνές και εθνικό επίπεδο και ότι οι σχετικές πολιτικές λαμβάνουν υπόψη τόσο τις επιστημονικές γνώσεις όσο και τις ανάγκες της επιστήμης».
Περίμενε, τι - δηλαδή «οι ανάγκες της επιστήμης» είναι τώρα η κορυφαία προτεραιότητα; Αυτό είναι Τεχνοκρατία.
«Το παράδειγμα που περιγράφεται εδώ αφορά την ενσωμάτωση της επιστήμης στις συνόδους κορυφής και τις επιτροπές του ΟΗΕ που εστιάζουν στην αειφόρο ανάπτυξη».
Αυτό ουσιαστικά αντικατοπτρίζει την «Υγεία σε όλες τις πολιτικές» και τα αντίστοιχα, που επιδιώκουν να ενσωματώσουν εντελώς άσχετα θέματα σε όλες τις πολιτικές για λόγους... ελέγχου.
«Το ICSU και τα διεπιστημονικά του όργανα διαδραματίζουν σημαντικό ρόλο και στην παροχή επιστημονικών στοιχείων σε διεθνείς συμβάσεις που αφορούν την προστασία του περιβάλλοντος και την αειφόρο ανάπτυξη, όπως οι Συμβάσεις των Ηνωμένων Εθνών για την Κλιματική Αλλαγή και τη Βιοποικιλότητα, καθώς και σε άλλα διακυβερνητικά φόρουμ, όπως το Διοικητικό Συμβούλιο του UNEP».
Δεν εκπλήσσομαι καθόλου.
«Το ICSU ήταν θεσμικός εταίρος στην Αξιολόγηση των Οικοσυστημάτων της Χιλιετίας, στην οποία συμμετείχαν χιλιάδες επιστήμονες από όλο τον κόσμο για τη δημιουργία ενός ολοκληρωμένου χάρτη της κατάστασης των οικοσυστημάτων της Γης, ο οποίος δημοσιεύθηκε το 2005. Μια σημαντική πρόκληση για το μέλλον θα είναι η διασφάλιση ότι τα αποτελέσματα αυτής της πολύ αυστηρής αξιολόγησης θα ενσωματωθούν στις μελλοντικές επιστημονικές και πολιτικές ατζέντες».
Δεν έχω καλύψει ακόμα την MEA, αλλά σε κάθε περίπτωση, είμαι αρκετά σίγουρος ότι κανείς δεν ψήφισε υπέρ αυτού και λίγοι ζήτησαν να ενσωματωθούν αυτά τα αποτελέσματα σε μελλοντικά επιστημονικά και πολιτικά προγράμματα.
Πριν προχωρήσουμε, ας ξεκαθαρίσουμε μερικά πράγματα εδώ. Πρώτον, από τα πολύ, πολύ, πολύ λίγα έγγραφα που βρήκα με οποιοδήποτε επίπεδο αναφοράς στο ASCEND 21, αυτή η καναδική διδακτορική διατριβή του 1997 είναι ένα από αυτά
«Εξετάζοντας την πορεία προς την UNCED, φαίνεται ότι καθώς η παγκόσμια περιβαλλοντική έρευνα κέρδιζε έδαφος, η προσαρμογή αυτής της έρευνας σε αποδεκτές μορφές παγκόσμιας διακυβέρνησης έγινε πρωταρχικό μέλημα των μεγάλων κρατών τόσο του ανεπτυγμένου όσο και του αναπτυσσόμενου κόσμου».
«Όπως το έθεσε ο εκτελεστικός διευθυντής του ICSU, η Ατζέντα 21, το σχέδιο για περιβαλλοντική δράση στον επόμενο αιώνα, «μπορεί να θεωρηθεί ως ένα μέσο μέσω του οποίου η επιστημονική γνώση μετατράπηκε σε ένα μοναδικό πλαίσιο αναφοράς των Ηνωμένων Εθνών».
Αυτή είναι μια ενδιαφέρουσα παραπομπή, και θα εξηγήσω γιατί σε ένα λεπτό.
«Η πιο άμεση συμβολή της επιστημονικής κοινότητας προήλθε από το ICSU, το οποίο ο Maurice Strong προσκάλεσε να λειτουργήσει ως επίσημος επιστημονικός σύμβουλος της διάσκεψης».
Επιβεβαίωση του παραπάνω. Είναι πάλι ο Maurice Strong. Ας προχωρήσουμε παρακάτω.
«Αν και οι συστάσεις του ASCEND 21 επικεντρώνονταν στενά στην προώθηση της επιστημονικής δραστηριότητας, ορισμένα θέματα σχετικά με την πολιτική ξεχώρισαν, όπως η εστίαση στον πληθυσμό και τη φέρουσα ικανότητα, τα πρότυπα κατανάλωσης και η ισχυρή υποστήριξη της αρχής της προφύλαξης».
Ναι... Αυτά τα ενδιαφέροντα συνάδουν απόλυτα με ένα ίδρυμα που αναφέρεται επανειλημμένα σε αυτά τα έγγραφα.
Rockefeller.
Έτσι, το ερώτημα εδώ είναι: ποιος έκανε την παραπάνω δήλωση; Κανένας άλλος από την Julia Marton-Lefèvre. Ακολουθεί μια περίληψη, ευγενική προσφορά του TEEB, γνωστού και ως «The Economics of Ecosystems & Biodiversity» (Η Οικονομία των Οικοσυστημάτων και της Βιοποικιλότητας) -
«Στα προηγούμενα αξιώματα που κατείχε η κα Marton-Lefèvre περιλαμβάνεται η θέση της εκτελεστικής διευθύντριας του LEAD International, ενός προγράμματος που ιδρύθηκε από το Ίδρυμα Rockefeller με σκοπό να συγκεντρώσει και να εκπαιδεύσει ηγέτες σε μέση καριέρα από όλα τα μέρη του κόσμου και από διάφορους τομείς, προκειμένου να βελτιώσουν τις ηγετικές τους δεξιότητες σε θέματα βιώσιμης ανάπτυξης».
Α, εντάξει.
«Ως μέλος του προγράμματος πολιτικής, που επιλέχθηκε από το Ίδρυμα Rockefeller, σχεδιάζει να ξεκινήσει ένα συγγραφικό έργο κατά τη διάρκεια του 2015 στο Κέντρο Bellagio του Ιδρύματος, ενώ το 2016 θα είναι διακεκριμένη επισκέπτρια ερευνήτρια στον τομέα του περιβάλλοντος στο Πανεπιστήμιο Yale».
Είμαι έκπληκτος.
«Η κα Marton-Lefèvre γεννήθηκε στην Ουγγαρία, σπούδασε στις Ηνωμένες Πολιτείες και στη Γαλλία και, έχοντας ζήσει σε διάφορες ηπείρους, θεωρεί τον εαυτό της παγκόσμια πολίτη».
Πιστέψτε με, νομίζω ότι όλοι το έχουμε καταλάβει αυτό μέχρι τώρα.
Το επόμενο θέμα είναι το LEAD. Ας σας δώσω μερικές συνδέσεις.
Φυσικά, χρηματοδοτείται από τον Rockefeller, με μια Ομάδα Εργασίας για την Αναθεώρηση Προγραμμάτων με επικεφαλής έναν εκπρόσωπο του Ιδρύματος Rockefeller, και -
«Είναι επίσης μέλος του Κινεζικού Συμβουλίου για τη Διεθνή Συνεργασία στον Τομέα του Περιβάλλοντος και της Ανάπτυξης, καθώς και μέλος του Διοικητικού Συμβουλίου του Earthwatch Europe και του Earth Council...»
Το Earth Council; Maurice Strong.
Και τέλος -
«Η Ατζέντα της Επιστήμης για το Περιβάλλον και την Ανάπτυξη στον 21ο αιώνα, που ήταν ένα σημαντικό έγγραφο που προετοιμάστηκε για τη Διάσκεψη των Ηνωμένων Εθνών για το Περιβάλλον και την Ανάπτυξη (UNCED) που πραγματοποιήθηκε στο Ρίο ντε Τζανέιρο το 1992».
Γνωστό και ως «ASCEND 21», αν και δεν μπορώ να το βρω ολόκληρο με αυτό το όνομα. Εδώ είναι το καλύτερο αντίγραφο που κατάφερα να βρω, αλλά είναι μια δοκιμαστική έκδοση.
Ωστόσο, μερικές σελίδες είναι ορατές και... πρώτα απ' όλα...
Γιατί στο καλό ο Gro Harlem Brundtland και ο Maurice Strong συμμετέχουν σε ένα Επιστημονικό Φόρουμ;
Είτε είναι επιστημονικό φόρουμ, είτε πολιτικό φόρουμ. Υποτίθεται ότι είναι το πρώτο, αλλά εδώ συμμετέχουν εξαιρετικά σημαντικοί ανώτεροι πολιτικοί. Αλλά, δεν αρκούνται σε αυτό -
«Οι συμμετέχοντες στη Διάσκεψη ASCEND 21 προσκλήθηκαν ατομικά μετά από επιλογή της Συμβουλευτικής Επιτροπής από πάνω από χίλιες προτάσεις που υποβλήθηκαν από τους συνδιοργανωτές, τα όργανα του ΟΗΕ και άλλους σχετικούς οργανισμούς».
Με άλλα λόγια, δεν ήταν ανοιχτό στο κοινό, ήταν μια εκδήλωση μόνο για προσκεκλημένους, και όποιος συμμετείχε σε αυτή τη Συμβουλευτική Επιτροπή, χωρίς αμφιβολία, επέλεξε μόνο «επιστήμονες» που ήταν χρήσιμοι για την αφήγηση.
... και θα αναφερθώ επίσης στην ομιλία του Menon, επειδή απαντά στην ερώτηση σχετικά με τον Maurice Strong παραπάνω -
«Για το λόγο αυτό, ο κ. Maurice Strong, Γενικός Γραμματέας της UNCED, ζήτησε από το ICSU να ενεργήσει ως κύριος επιστημονικός σύμβουλος και να οργανώσει αυτή τη Διεθνή Διάσκεψη, στην οποία όλοι μας είμαστε παρόντες σήμερα».
Και ορίστε.
Ο Maurice Strong κάλεσε το ICSU να οργανώσει τη διάσκεψη, προωθώντας την «επιστήμη» πριν από το σχέδιο της Ατζέντας 21, το οποίο βασίστηκε σε μεγάλο βαθμό στα αποτελέσματα αυτής της διάσκεψης - δηλαδή, το ASCEND 21, το οποίο προφανώς δεν προορίζεται για δημόσια κατανάλωση.
Πώς είναι αυτό δημοκρατικό;
Λοιπόν... για πόσο καιρό κατείχε η Julia την πρώτη θέση στο ICSU; Βρήκα ένα παλιό βιογραφικό της στο UPEACE. 1989-1997. Τουλάχιστον σύμφωνα με το βιογραφικό της. Δεν είμαι σίγουρος αν αυτό είναι αξιόπιστο, δεδομένης της «επιστημονικής» παραγωγής κατά τη διάρκεια της θητείας της. Και το μόνο πράγμα που ξεχωρίζει από όσα συζητήθηκαν προηγουμένως... το Global Footprint Network, που συνδέεται με το Club of Rome (Λέσχη της Ρώμης).
Και σε αυτό το στάδιο, θα σταματήσω εδώ. Έχω άφθονο υλικό, γιατί είναι αρκετά προφανές τι συμβαίνει.
Ολόκληρη η διαδικασία της διεθνούς επιστήμης είναι διεφθαρμένη, πιθανώς για τουλάχιστον δύο γενιές. Ίσως και περισσότερο. Ίσως αυτό να είναι ο λόγος πίσω από την «κρίση αναπαραγωγιμότητας»;
Εν πάση περιπτώσει, το ICSU ξεκίνησε περίπου... ναι, ένα χρόνο μετά το BIS. Όχι ότι αυτά είναι απαραίτητα συνδεδεμένα. Αλλά, πάλι, ίσως είναι. Σε τελική ανάλυση, και τα δύο μπορούν να συνδεθούν μέσω του Rockefeller.
-
Και εδώ είναι η Διακήρυξη Ubuntu. Δεν υπάρχει τίποτα απροσδόκητο σε αυτήν, το οποίο είναι πιθανώς το πιο καταθλιπτικό πράγμα σχετικά με αυτήν.
Αν σας άρεσε αυτό το άρθρο, μοιραστείτε το, εγγραφείτε για να λαμβάνετε περισσότερο περιεχόμενο και αν θέλετε να στηρίξετε το συνεχές έργο μου, μπορείτε να χρησιμοποιήσετε τον παρακάτω σύνδεσμο.
—Δικτυογραφία:
The Best Available Science - by esc






















